堆浸工艺设计要点
发布时间:2017-04-24 09:40 浏览量:11822 来源:金鹏矿机
温馨提示: 如果您想了解更多信息(如选矿设备价格、参数、规格及处理能力等),请联系我们客服。
24小时热线: 13606388717 在线咨询
与传统的选矿工艺比较,堆浸工艺具有投资省、成本低、基建时间短、生产环节少等优点,但也有一些局限性。在工艺生产、厂址选择和布置、工作制度、工艺条件、所采用的设备、材料等方面,堆浸工艺与传统工艺有所不同,具有自身的一些特点。几十年来,堆浸工艺伴随着技术进步和创新,迅速成长、发展,设计方面也积累了不少经验和知识。但总的来说,尚不够完整、成熟、规范,缺少可指导设计的内容比较全面的工具书,不少东西有待总结和进一步探索。
一
堆浸工艺与厂址选择
堆浸场址的选择原则,与传统工艺有相同之点,也有不同之处。相同的有:不占或少占农田,远离居民区;厂(场)址不压在矿床范围内,不在采矿蹋落区与爆破危险界限之内;尽可能使重车下坡运输。不相同的有:堆浸场可能与采矿场和尾渣库距离短,尽可能就近建设,降低运矿成本;堆浸场应尽可能与废石场共用一个山谷,以减少污染源;充分利用地形地势条件开挖液池,布置防洪排水系统。
堆浸湿法工艺通常由碎矿系统(有时含洗矿、制粒)、堆浸、吸附(萃取)、湿法冶炼等工序(本文仅讨论堆浸)组成,一般不需要建磨选车间。磨选车间有不少大型设备,生产期间需要运入大宗材料和运出精矿产品,需要配一定等级的公路,需要选择面积较大、地形比较平缓的场地。为达此需要,一般很难靠近采场,所需厂址离采场有一定距离,有的选厂距离很远,致使运矿设备投资和成本较大。
采用堆浸工艺,厂址选择变得相对简单。由于碎矿系统对地形适应性较强,堆浸场地可因地制宜,整个选厂设施不必远离采矿场,可缩短运矿距离,减少投资和成本。
堆浸场应尽可能与采矿废石场设在同一山谷或相邻山谷,尽可能用废石场兼作浸出后的尾渣库,缩短排废的距离,降低成本,且减少矿山污染源。这种情况下,排水防洪、泥石流防治及污染防治等设施可集中设计,既减少投资,又便于管理。
二
堆浸设施应该根据地形特点布置
总的来说,堆浸场对地形条件要求不高,可因地制宜,根据地形特点分别设置永久性卸堆式堆场或叠加式堆场。如山顶、山坡地势较缓、较开阔,宜用以构筑永久性卸堆堆场。每次拆堆后的废渣,可就推入山谷,并以此逐步扩大堆场面积。如山脊陡峭,山谷有比较开阔平缓的场地,可在谷底构筑叠加式矿堆。当今大型堆浸矿山,以在山谷中建叠加式矿堆为多数。底垫辅在选定的底层,一个周期喷淋浸出完成后,尾渣不排放,将新采出的矿石直接堆放在其上(也可隔若干层重新铺底垫),筑好堆后开始新一轮的喷淋。如此不断地叠加,直到不能再堆高为止。设计时,就优先考虑采用叠加式堆场。大量的生产实例表明,与永久性卸堆式堆场相比,叠加式堆场有如下几方面的优点。
①场地平整费用较低;②由于连续堆浸,浸出率较高;③可省去洗堆、拆堆和运尾渣作业,生产成本较低;④堆场与尾渣场合一,可减少污染面积。
但在山谷底部构筑堆场,修筑公路通常难度较大。无论是永久性卸堆堆场还是叠加式堆场,运矿公路均为简易公路。公路通常沿堆场边开拓,内侧为山坡,外侧为堆场。沿山坡内侧靠公路挖排水沟,将界区内山体汇水排至堆场的排洪沟。随着叠加式堆场面积的扩大和标高的抬升,进矿公路和排洪沟均往山坡上部迁移。堆场每筑高10m左右,应留有适当的安全平台,且使堆场边坡保持一定的角度。当矿堆向上移至一定高度时,下部安全平台和坡面,可以进行覆土造林,恢复植被,防止水土流失和泥石流事故。
无论采用哪种堆场,整个堆浸作业均有多个小堆场。每个小堆场均设有集液沟。生产经验告诉我们,集液沟最好设双沟。在浸出不同时期,根据溶液的品位高低,决定注入贵液池还是中间池。整个堆场下游应建两个以上的溶液池。一个为贵液池,一个为中间池。有的还需设贫液池。贵液池内可分隔为两部分,一边为贵液池,另一边为澄清池。贵液池的贵液用泵扬送或自流至吸附(萃取)系统。贫液池用于储存吸附后的贫液或萃取后的萃余液,添加药剂(氰化物或硫酸等)后输送到堆浸场喷淋。
过去,一些矿山把贵液池、中间池建筑在堆场下游的最低处,暴雨季节灌水直接经过,产生冲池、漫池,造成金属损失和环境污染。鉴此,设计时,应根据地形条件,将溶液池设在避开洪水径流线的位置,并在池周边做好排洪设施。小型矿山溶液池,有的用金属板或高分子塑料板拼焊。大中型矿山,由于溶液池体积较大,可用砼结构,也可依地形条件挖掘土坑,内铺防渗膜或黏土,施工速度快,又节省投资。不少矿山采用此种作法,能做到平时不渗漏,暴雨发生冲池现象。
堆场下游必须设具有一定容积的防洪池,否则暴雨季节不可避免地会造成金属损失和环境污染。防洪池宜设在堆场周边汇水范围下游集结处。一般不建砼结构,采用挖地坑铺设防渗膜的形式建造。由于防洪池内液体含有部分金属离子,通常被扬送到贫液池,作为喷淋液,在堆场内部构成液体循环,平时一般无废水外排。规模较大的堆浸场与废渣场,为了达到环境保护的要求,在下游出口处设置挡砂挡泥坝。雨季,坝内可蓄水,实际可兼作防洪池。当堆浸场与废石场共处一个山谷,废石场下游的拦挡坝形成的水库,可当作堆浸场的防洪库,不必另建防洪池,或在拦挡坝上游建一小防洪池调节使用(非雨季期间)。
三
堆浸设施设计
堆浸设施设计计算,主要有堆浸场面积计算、溶液池和防洪池的容积计算。
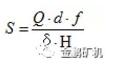
堆浸场面积计算,目前国际上尚无公认的通用的计算公式。过去的设计,大多参照同类型矿山生产情况,凭经验确定堆浸面积。本文推出一公式如下:
(1)
式中:S为堆场总面积,m2;Q为选厂日处理矿石量,t/d;d为堆浸生产一个周期的天数(含筑堆、卸矿的天数),d;f为堆场面积系数,包含堆场死角、运输道路等,通常取1.2~1.3;δ为矿石松散密度,t/m3;H为矿堆堆高,m。
从式中(1)可知,堆场面积与日处理的矿石量、堆浸周期天数成正比,与矿石的松散密度、堆高成反比。
拟定公式(1)的基本思路是:堆浸作业有多个小堆场,交替进行筑堆、喷淋(初、中、晚期)、洗堆、卸堆等作业,是连续的过程。生产正常情况下,堆场面积理论上是个常数。堆浸一个周期,需很多天才能完成,但每天运入堆场的矿石量是稳定的。因此当堆高确定后(松散密度也为定值),决定堆场面积的是一个周期内处理的矿石总量,即日处理矿石量乘以一个周期的天数,与全年矿石处理量无直接关系。
笔者用公式(1)对大量生产实例进行验算,计算结果与实际情况相当接近。因此认为,公式(1)可推广作为设计计算堆场面积的通用公式。
防洪池的计算。防洪池容积通常按容纳堆场内部连续降雨若干小时汇水量来确定。但降雨时间多长为宜,没有绝对标准。东北大学出版社出版的《堆浸法提金工艺与设计》介绍的公式为:
(2) V=K·e·h·s
式中:V为防洪池容积,m3;K为保险系数,一般为1.1~1.3,根据气象资料的可靠性确定,可靠性大时取下限,反之取上值;e为每小时最大降雨量,m/h(根据当地50~100年气象资料而定);h为最大连续降雨小时数,h(根据当地50~100年气象资料而定);s为堆浸场总面积,m2。
在使用公式(2)时,最大连续降雨小时数难以确定。南方地区,这个数字通常较大,依公式(2)算出的防洪池容积很大。在设计中,有时设定最大连续降雨时数为8~10h来计算,认为堆场经暴雨冲洗8~10h后,金属离子及药剂浓度已大为稀释,随洪水漫流出去,对下游污染不严重。实际上,如前所述,大一些的堆浸场及废石场,为防止泥石流泛滥,尽可能在山谷出口处筑拦挡坝,形成的库容比一般防洪池大的多,可不必设防洪池。公式(2)主要适用于下游无拦挡库,单独设置防洪池的计算。
溶液池(富液池、贫液池、中间池)容积计算。有的书籍介绍了计算方法,认为金矿堆浸按每1000t矿石6.5m3贵液池容积为宜,贫液池与富液池容积相当。由于铜矿堆浸获得的贵液是进萃取系统,所需溶液池的容积比金矿应大得多。总的原则是,溶液池的容积应与堆场规模相匹配,同时也满足后续作业的储存要求。
四
堆浸工作制度
堆浸在露天作业,受气候影响较大,恶劣天气条件下,往往难于维持正常生产。中国南方雨季时间长,北方冰冻时间久,都会使堆浸生产全年工作日缩短。南方堆浸生产经验表明,小雨天气对生产影响不大。有些矿山用防雨膜罩盖堆浸场,并加强堆场防排洪和溶液池管理,使堆浸生产在雨季期间(除非大暴雨)也得以继续进行。南方地区年工作日,一般可达300d。但北方地区冰冻期间要维持正常生产,难度大得多。北方在冬天通常采用的办法,是使堆浸作业在覆盖层或覆土层下面进行。喷淋输送管可采取两种方式安装,一是沿地面上布置,管子外面包裹较厚的防冻层;二是埋在地表1.5m以下。设计地下敷设的压力输液管时,特别要注意,当管子从低往高布置时,不可以在中间出现低陷点储存水后会产生冻结,使整条管道不畅通。如果地形条件使管道不得不在中间出现低落点(这部分地形低),则必须在此处设置放水口及闸阀。北方地区堆浸生产全年工作日,大约为240~290d。
堆浸喷淋工作制度以及各作业的工作时间,宜根据不同矿种及参照不同类型矿石的生产特点来制定。有条件的情况下,可进行试验。
五
设计指标及主要工艺条件
与传统工艺相似,堆浸工艺设计确定浸出指标的依据,也是选矿试验结果与实际生产指标,也可参与类似矿山的生产实践。但不同的是,传统工艺试验是模仿生产条件进行的,而堆浸工艺实验室小型试验,通常是以滚甁和柱浸方式进行,与实际条件差别较大,因此浸出率相差较大,尤以金矿比较突出。因此,设计时应尽可能以工业性(半工业性)试验结果作为确定浸出指标的依据。如无工业性试验,可参考原矿性质相似的矿山堆浸生产指标,并参照柱浸指标,适当调整后确定。
堆浸粒度、堆浸周期和堆高都是重要的工艺条件。适宜的堆浸粒度,通过柱浸试验即可基本确定。堆浸周期和堆高则要通过工业性(半工业性)试验拟定。适宜的堆浸周期确定依据有两条:一是浸出率指标;二是堆浸尾渣品位对应的盈亏平衡点。从设计经验可知,有时柱浸的天数与实际堆浸生产差距很大,如金矿,实际生产天数往往是柱浸天数的2~2.5
下一篇:
金鹏集团早会文化引领企业学习热潮
English
Español
русский












