



应用领域
磷矿浮选机生产线可适用于矿石结构构造复杂多样,矿物赋存关系复杂,堪布粒度细小,镶嵌关系密切,混杂共生普遍,单体解离难的磷矿石。
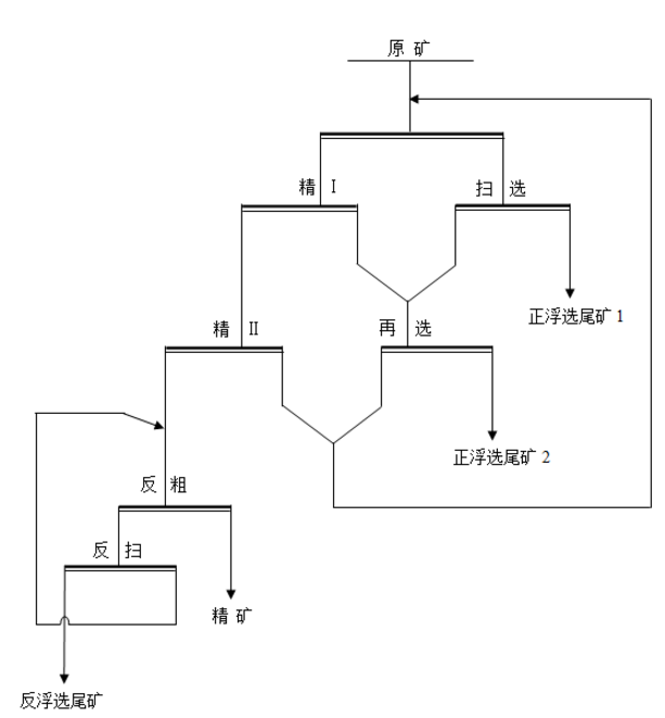
工艺流程
1、正浮选工艺:
直接浮选是采用有效的抑制剂抑制脉石矿物,用捕收剂将磷矿物富集于泡沫中,可适用于低品位磷矿石,包括岩浆岩型磷灰石和沉积变质型磷灰岩矿石;
2、反浮选工艺:
主要用于磷矿和白云石的分离,在弱碱性介质中用脂肪酸捕收剂浮出白云石,将磷矿物富集于槽内,最大的优点是实现了常温浮选,槽内产品粒度较粗有利于产品后处理;
3、双反浮选工艺:
双反浮选是在碱性的条件下,让硅酸盐表面带正电荷而用阴离子捕收剂实现目的矿物分离,即先浮选白云石,再反浮选硅酸盐,槽中产品即为重精矿,该生产线可在常温、较粗粒度的条件下进行。
相关示意图如下所示:
